پایان نامه رابطه هوش اجتماعی و عملکرد تجاری مدیران بانک

پایان نامه رابطه هوش اجتماعی و عملکرد تجاری مدیران بانک پایان نامه رابطه هوش اجتماعی و عملکرد تجاری مدیران بانک

دسته : مدیریت

فرمت فایل : word

حجم فایل : 637 KB

تعداد صفحات : 107

بازدیدها : 650

برچسبها : هوش اجتماعی عملکرد تجاری مدیران

مبلغ : 10000 تومان

خرید این فایل

دانلود پایان نامه رشته مدیریت اجرایی گرایش بازاریابی با عنوان بررسی رابطه هوش اجتماعی و عملکرد تجاری (مطالعه موردی: مدیران بانک کشاورزی استان اردبیل)

پایان نامه برای دریافت درجه کارشناسی ارشد در رشته مدیریت اجرایی گرایش: بازاریابی عنوان: بررسی رابطه هوش اجتماعی و عملکرد تجاری (مطالعه موردی: مدیران بانک کشاورزی استان اردبیل)

The survey of relationship social intelligence and business performance Case study: ardabil agriculture bank managers

چکیده

هدف پایان نامه حاضر بررسی رابطه هوش اجتماعی و عملکرد تجاری در بین مدیران بانک کشاورزی می باشد. بدین منظور ویژگی های هوش اجتماعی از قبیل پردازش اطلاعات اجتماعی، مهارت های اجتماعی، هوشیاری اجتماعی و مطلوبیت اجتماعی به عنوان مولفه های اصلی بر روی عملکرد تجاری شامل عملکرد رفتاری، عملکرد در نقش، عملکرد فرا نقش، و عملکرد مبتنی بر نتیجه مورد سنجش قرار گرفت. جامعه آماری پژوهش حاضر مدیران بانک کشاورزی استان اردبیل بوده و نمونه های مورد نیاز بر اساس تمام شمارش به تعداد 152 نفر مدیر انتخاب شدند. و مشتریان هدف شعب با روش نمونه گیری تصادفی ساده به تعداد 305 نفر عنوان نمونه آماری انتخاب شدند. پژوهش حاضر از نظر هدف کاربردی، و از نظر روش گرد آوری داده ها، میدانی است. گفتنی است که ابزار گرد آوری داده ها، پس از تعین روایی و پایایی، از دو نوع پرسشنامه (مدیران و مشتریان) استفاده شد. و شیوه تجزیه و تحلیل پزوهش بر اساس همبستگی پیرسون و تحلیل رگرسیون به عمل آمده است. نتایج به دست آمده از یافته های پژوهشی رابطه ی میان هوش اجتماعی و عملکرد تجاری را تایید کرده است. این نتیجه در مورد هر یک از فرضیه های دیگر که بین مولفه های هوش اجتماعی مثل پردازش اطلاعات اجتماعی، مهارت های اجتماعی، هوشیاری اجتماعی و مطلوبیت اجتماعی با مولفه های عملکرد تجاری از قبیل عملکرد رفتاری، عملکرد در نقش، عملکرد فرا نقش، و عملکرد مبتنی بر نتیجه نیز بدست آمد. بنابر نتایج حاصله افرادی که دارای توانمندی برقراری رابطه اجتماعی و قدرت برقراری ارتباط در شبکه های روابط اجتماعی بودند، توانستند عملکرد تجاری بهتری نسبت سایر مدیران داشته باشند.

کلید واژه: هوش اجتماعی، پردازش اطلاعات اجتماعی، مهارت های اجتماعی، هوشیاری اجتماعی و مطلوبیت اجتماعی، وعملکرد تجاری

ضرورت و اهمیت تحقیق

با توجه به رقابت شدید بانکها در جذب منابع موجود علی الخصوص بعد از ورود بانک های خصوصی به سیستم بانکی، به این جهت که اکثر روش های انگیزشی توسط بانک ها به کار گرفته شده است و اذعان به این مسئله که بانک های خصوصی نسبت به بانک های دولتی از قدرت مانور مالی بالایی در تقابل با مشتریان برخوردارند، بانک های دولتی که سازمان مورد نظر تحقیق ما (بانک کشاورزی) نیز یکی از آنها می باشد، بایستی این ضرورت را در اولویت های برنامه ای خود داشته باشد که به الزامات و مهارت های کارکنان بانک در تعامل با مشتریان اهمیت ویژه ای قائل گردیده و بدین وسیله بتواند در بازار رقابتی موجود در مقابل توان بودجه ای بالای بانک های خصوصی یارای مقاومت داشته و بقاء خود را در محیط پرتلاطم امروزی تضمین نماید.

در باب اختلاف نظرهای مربوط به موضوع تحقیق، با عنایت به نظرهای متفاوت موجود که در بیان مسئله به آن پرداخته شد، پژوهشگران مقیاس جدید هوش اجتماعی ترومسو را مطرح نمودند که در این تحقیق بر پایه این مقیاس، معیارهای لازم برآورد گردیده و بر اساس نتایج بعمل آمده در جهت بهبود وضعیت عملکردی سازمان مورد نظر تحقیق اقدامات لازم توصیه می گردد. از اینرو پرداختن به هوش اجتماعی از چند جهت واجد اهمیت است:

با توجه به اینکه قبلا هیچ مطالعه در مورد هوش اجتماعی صورت نگرفته و اگر هم صورت گرفته به صورت منظم نبوده است. هدف این تحقیق نظم بخشی به هوش اجتماعی افراد و استفاده مدیران و کارکنان از آن در سازمان است. با توجه به اینکه محقق در این تحقیق موضوع تحقیق را محدود به بانک کشاورزی نموده است و تاکنون در هیچ تحقیقی در آن سازمان به این موضوع پرداخته نشده است، نتیجه این تحقیق می تواند به مدیران و کارکنان در جهت بهبودی عملکرد شعب کمک نماید. این تحقیق با توجه به اینکه قبلا چنین مطالعه ای در کشور انجام نشده، می تواند در سازمان به عنوان ملاک ارزشیابی کارکنان جهت ارتقا و پیشرفت شغلی و همچنین در جذب نیروهای جدید در آزمونهای استخدامی آن سازمان به عنوان ملاک آزمون مورد استفاده قرار گیرد

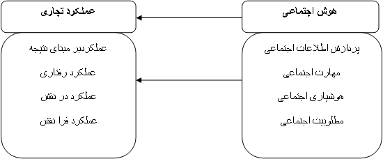
مدل نظری تحقیق

مدل رابطه هوش اجتماعی و عملکرد تجاری

هوش اجتماعی چیست

هوش اجتماعی، صرفا یعنی قدرت کنار آمدن و ارتباط برقرار کردن با دیگران. مغز بشر یکی از پیچیده ترین، حساس ترین و با قدرترین عضوی است که در کاینات وجود دارد. انسان حتی در ارتباط با مغزش خودش هم دارای مشکل است چه رسد به این که با مغز انسان های دیگر نیز ارتباط برقرار کند. افرادی که هوش اجتماعی دارند باید بتوانند با بقیه ارتباط موثری برقرار کنند. آنها باید شخصیتی داشته باشند که دیگران را تحت تأثیر قرار دهند، و خلاقیت نیروی ارتباطی و دوستی درآنها رشد کند و بداند چه طور دوست پیدا کنند، و چه طور آن ها را نگه دارند. افزایش هوش اجتماعی کمک می کند که فرد مصاحب و شنونده خوبی باشد و با قدرت با همه ارتباط برقرار کند. افرادی که این هوش اجتماعی درآنها رشد کرده می توانند به راحتی با همه افراد از هر گروه سنی،فرهنگی یا اجتماعی رابطه برقرار کنند و کسانی هم که با چنین کسی مواجه می شوند، با او راحت تر هستند.

تعریف هوش اجتماعی ساده نیست، اگر ما در نظر بگیریم که این به مفاهیمی از قبیل مهارت های اجتماعی و شایستگی های اجتماعی است. علاوه براین، مفاهیم دیگر از قبیل هوش هیجانی، هوش میان فردی، قسمتی از مفاهیم باهم تداخل دارند. یکی از اصلی ترین مشکلات مطالعه هوش اجتماعی است، از اینرو هوش اجتماعی واقعیتی است که محققان مختلف تعریف کرده اند. هوش اجتماعی عبارت است از یک مفهوم چند وجهی و در میان دیگران است. هوش از جمله مواردی است که بسیار مورد توجه روان شناسان بوده و در طول تاریخچه روانشناسی تلاش بر این بوده که ماهیت هوش، انواع آن، تغییر پذیری آن و...، مورد بررسی قرار گیرد. وقتی درباره هوش صحبت می شود، ویژگی چون یادگیری سریع زیاد، محاسبات دقیق و فوری و راه حلهای جدید به ذهن خطور می کند.

قدر مسلم این است که موفقیت سازمان ها و مدیران همواره مرهوم یک سری عوامل کلیدی است و شناسایی و تقویت چنین عواملی کامیابی هر چه بیشتر سازمان ها را به دنبال خواهد داشت. مدیران در هر سازمان به منظور هماهنگی و افزایش کارایی کارکنان سازمان و دستیابی به اهداف در رأس سازمان قرار دارند. واضح است که چگونگی اداره سازمان ها و عملکرد مدیران، رکود یا پیشرفت اجتماعی را به دنبال خواهد داشت.

عملکرد تجاری چیست

عملکرد تجاری: عملکرد مدیران در ارتباط با رفتار مناسب با مشتریان بر مبنای، عملکرد رفتاری، عملکرد در نقش، عملکرد فرا نقشی و عملکرد بر مبنای نتیجه می باشد.

عملکرد رفتاری

دانش حرفه ای و یا شخصی، پند خردمندانه، مهارت، خود اتکائی، مدیریت صحیح زمان، کنجکاوی وعطش برای دانش، دوستانه رفتار کردن، شناسائی یا شناخت اشخاص، میزان تاثیر گذاری، دانش واقعی مشتریان هدف، پرسش سوالات صحیح، فروش محصول خوب به مشتری هدف، سازگاری با جزئیات، تمایل برای کار کردن.

عملکرد در نقش

اعتماد مشتری، شناسائی بوسیله مشتریان هدف، به اشتراک گذاشتن دانش و یا اطلاعات با همکاران، پیگیری، روحیه تیمی، وفاداری مشتریان حساب کلیدی، خوب کار کردن، تاثیر مثبت روی کار، درک والای مشتریان هدف.

عملکرد فرا نقشی

همدلی، شفافیت کافی، بها دادن به اخلاقیات شخصی، رو راست بودن با ارزش های شخصیتی،

توانایی شنیدن، ارزش های خانوادگی، عدم تحمل فشار.

عملکرد مبتنی بر نتیجه

نتایج، عملکرد ارتقا یافته، قدرت بالای مرجع، مشتریان کلیدی بیشتر.

چکیده

فصل اول: کلیات تحقیق

مقدمه

بیان مساله

ضرورت و اهمیت تحقیق

سوابق تحقیق

فرضیه ها

مدل نظری تحقیق

اهداف تحقیق

فصل دوم: مروری بر تحقیقات انجام شده

مقدمه

تعریف هوش

رهیافت روان سنجى

منحنى توزیع هوش

تعاریف هوش

رهیافتهاى پردازش اطلاعات

هوش از دیدگاه رشد

هوش و مسئله طبیعت تربیت

هوش اجتماعی چیست

مفهوم هوش اجتماعی در نظریه محققان

مؤلفه های هوش اجتماعی عباتند از:

با روش هایی می توان هوش اجتماعی را تقویت کرد

مشکلات هوش اجتماعی:

انواع هوش در حالت کلی

انواع هوش از دیدگاه ثرندایک

انواع هوش از دیدگاه اسپیرمن

انواع هوش از دیدگاه ترستون

انواع هوش از دیدگاه اشترن برگ

انواع هوش از دیدگاه گاردنر

تقسیم بندی هوش به انواع کلامی و عملی (غیر کلامی)

خصوصیات افراد دارای هوش اجتماعی

تاریخچه بانک ها

پیدایش بانکداری

بانک های ایرانی با سرمایه ایرانی

تاریخچه بانک کشاورزی

تعریف تجهیز منابع بانکی

تعریف مشتری

رضایت مشتری چیست؟

انواع مهارت های لازم برای جذب منابع مالی در بانکها

نقش عوامل سرمایه فیزیکی درجذب منابع مالی بانک ها

نقش عامل تنوع خدمات بانکی در جذب منابع مالی

عوامل موثر بر تجهیز منابع مالی

فناوری اطلاعات و ارتباطات

مهارت های نیروی انسانی

تنوع خدمات بانکی

کیفیت خدمات بانکی

مطلوبیت محیط داخلی بانک ها

مطلوبیت محل استقرار مکانی بانک ها

عملکرد تجاری چیست

عملکرد رفتاری

عملکرد درنقش

عملکرد فرا نقشی

عملکرد مبتنی بر نتیجه

عملکرد تجاری سازی در بخش های مختلف

تعریف تجار ی سازی فن آوری

فرایند تجار ی سازی فن آوری

تعریف شاخص تجاری سازی فن آوری

روند تجاری سازی فن آوری در جهان

فصل سوم: مواد و روش ها

مقدمه

روش تحقیق

جامعه آماری

شیوه تعیین حجم نمونه و روش نمونه گیری

روش گردآوری اطلاعات و ابزار سنجش

روایی پرسشنامه

پایایی پرسشنامه

مقیاسهای مورد استفاده در تحقیق

روشهای تجزیه و تحلیل داده ها

آمار توصیفی

آمار استنباطی

تحلیل عاملی

آزمون کلموگروف-اسمیرنوف

آزمون تحلیل همبستگی پیرسون و اسپرمن

تحلیل رگرسیون چندگانه

فصل چهارم: نتایج

مقدمه

یافته های توصیفی تحقیق

ویژگی های توصیفی مربوط به مدیران

ویژگی های جمعیت شناختی مربوط به مشتریان

شاخص های آماری متغیرهای تحقیق

یافته های استنباطی

یافته های جانبی تحقیق

فصل پنجم: بحث و نتیجه گیری

مقدمه

نتیجه گیری

نتایج تحقیقات مرتبط با موضوع

پیشنهادات تحقیق

پیوستها

منابع

خرید و دانلود آنی فایل

به اشتراک بگذارید

Alternate Text

آیا سوال یا مشکلی دارید؟

از طریق این فرم با ما در تماس باشید